近日,苏州大学冯岩教授团队在尘埃等离子体物理研究中取得重要进展,发现二维尘埃等离子体固体晶格存在各向异性屈服行为,并获得系统屈服应力随晶格取向的变化规律和对应的微观物理机制。研究团队进一步发现,二维尘埃晶格的各向异性屈服导致系统沿不同取向角度存在包辛格效应(Bauschinger effect)或反向包辛格效应(reverse Bauschinger effect)。该项研究工作为固体塑性行为的微观机理研究提供了重要思路。相关研究成果以“Orientation-dependent yield and Bauschinger effects in two-dimensional Yukawa solids”为题发表在《Physical Review Research》上。
对绝大多数固体材料而言,当施加的外部载荷超出弹性极限时,材料将产生永久变形,这一行为称为屈服。引起屈服的应力称为屈服应力,产生的不可逆形变称为塑性形变。在晶体材料中,一般认为塑性形变是由材料内部的位错运动引起的,因此屈服应力实质为驱使位错开始稳定运动的临界应力。包辛格效应一般指材料在正向载荷下的初始塑性形变会减小其在后继反向载荷下的屈服应力,是一种由塑性形变引起的特殊各向异性行为,普遍存在于各种固体材料与物理系统中。
尘埃等离子体,也称复杂等离子体,指由自由电子、离子、中性气体原子和带电尘埃颗粒组成的复杂系统。地面实验条件下,大量带电尘埃颗粒可自组织形成强耦合二维固体晶格,是标准六方对称的三角晶格。由于尘埃颗粒绝佳的运动时空尺度,可通过顶视高速相机精确记录每个颗粒的运动轨迹,进而实现单颗粒动理学层面的诊断。空间站微重力条件下,大量尘埃颗粒将悬浮在等离子体环境中,形成三维尘埃云。基于此,利用尘埃等离子体系统,可以从单个“原子”层面对固体塑性形变的物理过程,以及相关塑性行为的微观机理进行深入研究。

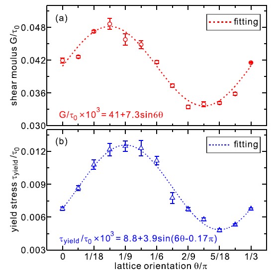
图1 系统剪切模量与屈服应力随晶格取向的变化规律。
本文通过计算机模拟,系统地研究了二维尘埃等离子体固体的各向异性屈服行为。在稳定剪切形变过程中,通过计算不同晶格取向下的应力应变响应关系,发现系统弹性模量与屈服应力随晶格取向的变化规律,如图1所示。当晶格取向角从0逐步增大至π/3时,剪切模量与屈服应力均近似呈正弦变化。基于单颗粒相关力学参量的分析,研究团队提出了各向异性屈服的微观机制。通过量化系统的原子弹性常数,发现原子弹性常数随晶格取向的变化规律与剪切模量与屈服应力完全一致。这一结果表明,屈服应力的晶格取向依赖性是由系统的弹性各向异性所造成的。
进一步研究发现,在多次正反循环剪切作用下,通过改变初始晶格取向,二维尘埃晶格分别表现出三种典型的行为,即几乎不存在包辛格效应、显著的常规包辛格效应、及反向包辛格效应,如图3所示。这是在尘埃等离子体物理研究中首次明确发现其包辛格效应。这一结果表明,包辛格效应与反向包辛格效应在二维尘埃等离子体固体系统中均存在,且它们主要取决于系统的各向异性屈服。

图2 不同晶格取向下的无包辛格效应、包辛格效应、和反向包辛格效应。
该工作利用尘埃等离子系统的单颗粒诊断优势,揭示了各向异性屈服行为的微观机制,还进一步揭示了单晶材料中存在包辛格效应的一种物理机制,为固体材料的塑性性质研究提供了新的思路。这些结果有望在随后尘埃等离子体实验中得到进一步证实。
苏州大学物理科学与技术学院博士后卢少瑜是该论文的第一作者,冯岩教授是该论文的通讯作者。该研究获得国家自然科学基金委的资助,同时得到苏州大学物理科学与技术学院的支持。
论文链接:https://doi.org/10.1103/PhysRevResearch.6.033211
DOI: 10.1103/PhysRevResearch.6.033211
